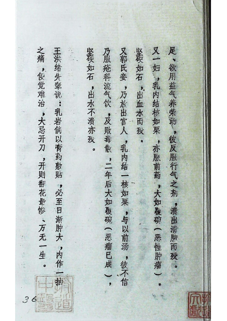
书名:《癌症治疗法》
年代:不详
页数:60页
PDF大小:176M
内容有:癌症探讨、癌症病状、癌症病因、癌症生理与病理、癌症诊断、先辈论说与治法、先辈治验、先辈告戒、白血病治疗经验等。第45、46页漏印。
_41.jpg)
声明:本站所有文章,如无特殊说明或标注,均为本站原创发布。任何个人或组织,在未征得本站同意时,禁止复制、盗用、采集、发布本站内容到任何网站、书籍等各类媒体平台。如若本站内容侵犯了原著者的合法权益,可联系我们进行处理。
书名:《癌症治疗法》
年代:不详
页数:60页
PDF大小:176M
内容有:癌症探讨、癌症病状、癌症病因、癌症生理与病理、癌症诊断、先辈论说与治法、先辈治验、先辈告戒、白血病治疗经验等。第45、46页漏印。
_41.jpg)
评论(0)