书名:《当归草堂医学丛书—痎疟论疏》
年代:清代
页数:104页
PDF大小:262M
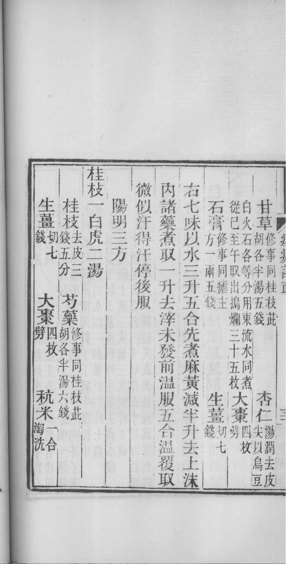
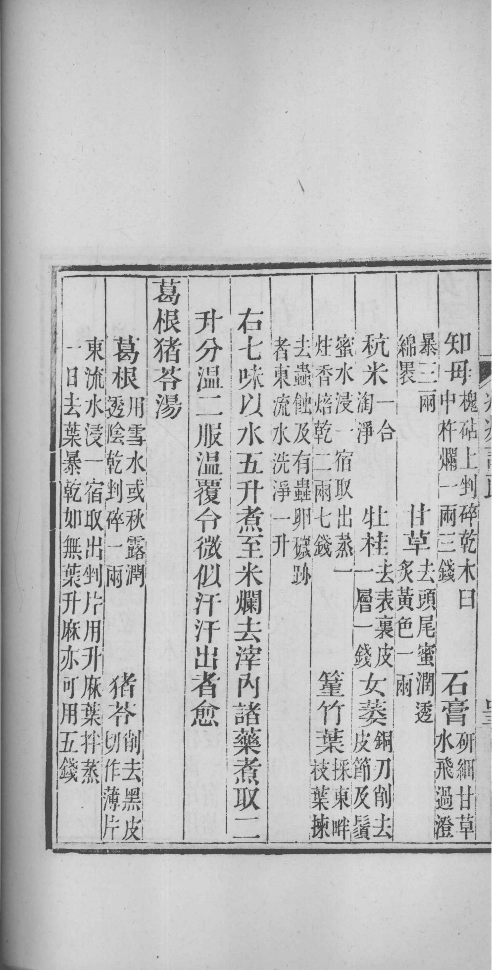
内容有:提要、附方、瘧主方、白虎青龙各半汤、桂枝茈胡各半汤、大青龙汤、调胃承气汤、小建中汤、乌梅丸等等。
_98.jpg)
声明:本站所有文章,如无特殊说明或标注,均为本站原创发布。任何个人或组织,在未征得本站同意时,禁止复制、盗用、采集、发布本站内容到任何网站、书籍等各类媒体平台。如若本站内容侵犯了原著者的合法权益,可联系我们进行处理。
书名:《当归草堂医学丛书—痎疟论疏》
年代:清代
页数:104页
PDF大小:262M
内容有:提要、附方、瘧主方、白虎青龙各半汤、桂枝茈胡各半汤、大青龙汤、调胃承气汤、小建中汤、乌梅丸等等。
_98.jpg)